切换至 "中华医学电子期刊资源库"

中华普外科手术学杂志(电子版) ›› 2026, Vol. 20 ›› Issue (02) : 170 -174. doi: 10.3877/cma.j.issn.1674-3946.2026.02.019

论著

昼夜节律基因与结直肠癌恶性进展的相关性研究
李洁1,2, 吴迪1, 刘璐1,2, 赵冰鹤1,2, 王浩亚1, 王鑫鑫1,(), 谢天宇1,()   
  1. 1100853 北京,中国人民解放军总医院第一医学中心普通外科医学部
    2300071 天津,南开大学
  • 收稿日期:2025-07-29 出版日期:2026-04-26
  • 通信作者: 王鑫鑫, 谢天宇

A study on the correlation between circadian rhythm genes and the malignant progression of colorectal cancer

Jie Li1,2, Di Wu1, Lu Liu1,2, Binghe Zhao1,2, Haoya Wang1, Xinxin Wang1,(), Tianyu Xie1,()   

  1. 1Department of General Surgery, First Medical Centre of Chinese PLA General Hospital, Beijing 100853, China
    2Nankai University, TianJin 300071, China
  • Received:2025-07-29 Published:2026-04-26
  • Corresponding author: Xinxin Wang, Tianyu Xie
引用本文:

李洁, 吴迪, 刘璐, 赵冰鹤, 王浩亚, 王鑫鑫, 谢天宇. 昼夜节律基因与结直肠癌恶性进展的相关性研究[J/OL]. 中华普外科手术学杂志(电子版), 2026, 20(02): 170-174.

Jie Li, Di Wu, Lu Liu, Binghe Zhao, Haoya Wang, Xinxin Wang, Tianyu Xie. A study on the correlation between circadian rhythm genes and the malignant progression of colorectal cancer[J/OL]. Chinese Journal of Operative Procedures of General Surgery(Electronic Edition), 2026, 20(02): 170-174.

目的

昼夜节律紊乱与肿瘤发生发展密切相关。本研究旨在探讨核心昼夜节律基因与结直肠癌恶性进展的关联。

方法

整合TCGA、Kaplan-Meier Plotter、GEPIA 2.0、TIMER 2.0、cBioPortal和Methsurv等多个数据库资源,系统分析昼夜节律基因与结直肠癌进展的相关性。采用R4.3.2软件进行统计分析,符合正态分布的计量资料以(±s)表示,组间比较采用t检验;不符合正态分布或方差不齐的计量资料采用Wilcoxon秩和检验;计数资料以[例(%)]表示,采用χ2检验或Fisher确切概率法。P<0.05表示差异有统计学意义。

结果

核心昼夜节律基因在结直肠癌与癌旁组织中存在显著差异表达。其中BMAL1、CLOCK、CRY1、NPAS2、NR1D1和PER1/3等高表达与患者不良预后显著相关(P<0.05)。并且这些基因与APC呈强相关,而与MYC、PTEN和TP53等癌基因关联较弱。此外,BMAL1/2、CLOCK、CRY1/2和RORC可影响肿瘤微环境中免疫细胞的浸润状态。CRY1、NPAS2、NR1D1和PER1的高甲基化提示不良预后,而CLOCK和CRY2的脱甲基化则具有保护作用。值得注意的是,昼夜节律基因在结肠癌中的调控作用较直肠癌更为显著,提示可能存在组织特异性调控机制。

结论

昼夜节律基因可以通过调控原癌基因、免疫微环境和DNA甲基化状态影响结直肠癌的恶性进展。并且昼夜节律基因在结肠癌发生发展中的调控作用较直肠癌更为显著。靶向调控昼夜节律的关键基因可能为结肠癌患者提供更具潜力的治疗策略。

Objective

Disruption of circadian rhythms is closely associated with tumor occurrence and development. This study aims to explore the association between core circadian rhythm genes and the malignant progression of colorectal cancer.

Methods

Multiple database resources such as TCGA, Kaplan-Meier Plotter, GEPIA 2.0, TIMER 2.0, cBioPortal, and Methsurv were integrated to systematically analyze the correlation between circadian rhythm genes and the progression of colorectal cancer. Statistical analysis was performed using R 4.3.2 software. Quantitative data that met normal distribution were expressed as (±s), and comparisons between groups were conducted using t tests; quantitative data that did not meet normal distribution or had unequal variances were analyzed using the Wilcoxon rank sum test; count data were expressed as [cases (%)], and were analyzed using the χ2 test or Fisher’s exact probability method. P<0.05 indicated statistically significant differences.

Results

Core circadian rhythm genes showed significant differential expression in colorectal cancer and adjacent tissues. Among them, BMAL1, CLOCK, CRY1, NPAS2, NR1D1, and PER1/3 were highly expressed and significantly correlated with poor prognosis in patients (P<0.05). These genes were strongly correlated with APC, and had a weaker association with oncogenes such as MYC, PTEN, and TP53. Additionally, BMAL1/2, CLOCK, CRY1/2, and RORC could affect the infiltration status of immune cells in the tumor microenvironment. High methylation of CRY1, NPAS2, NR1D1, and PER1 indicated poor prognosis, while demethylation of CLOCK and CRY2 had protective effects. Notably, the regulatory role of circadian rhythm genes in colon cancer was more significant than that in rectal cancer, suggesting the existence of tissue-specific regulatory mechanisms.

Conclusion

Circadian rhythm genes can affect the malignant progression of colorectal cancer by regulating proto-oncogenes, immune microenvironment, and DNA methylation status. Moreover, the regulatory role of circadian rhythm genes in the occurrence and development of colon cancer is more significant than that in rectal cancer. Targeted regulation of key genes of circadian rhythm may provide more promising therapeutic strategies for patients with colon cancer.

图1 结直肠癌中昼夜节律基因的表达差异注:CRG为昼夜节律基因;DEG为差异表达基因;COAD为结肠腺癌;READ为直肠腺癌
图2 不同分期的结肠癌组织中昼夜节律基因的表达差异
图3 昼夜节律基因的表达对结肠癌患者总生存率的影响注:bHLHe5为BMAL1基因;ARNTL2为BMAL2基因
表1 基于昼夜节律基因表达的结肠癌患者的多因素COX回归分析
图4 核心昼夜节律基因与癌基因的相关性热图注:aP<0.05,aaP<0.01,aaaP<0.001,ns为差异无统计学意义
图5 结直肠癌中昼夜节律基因与免疫细胞浸润的相关性气泡图
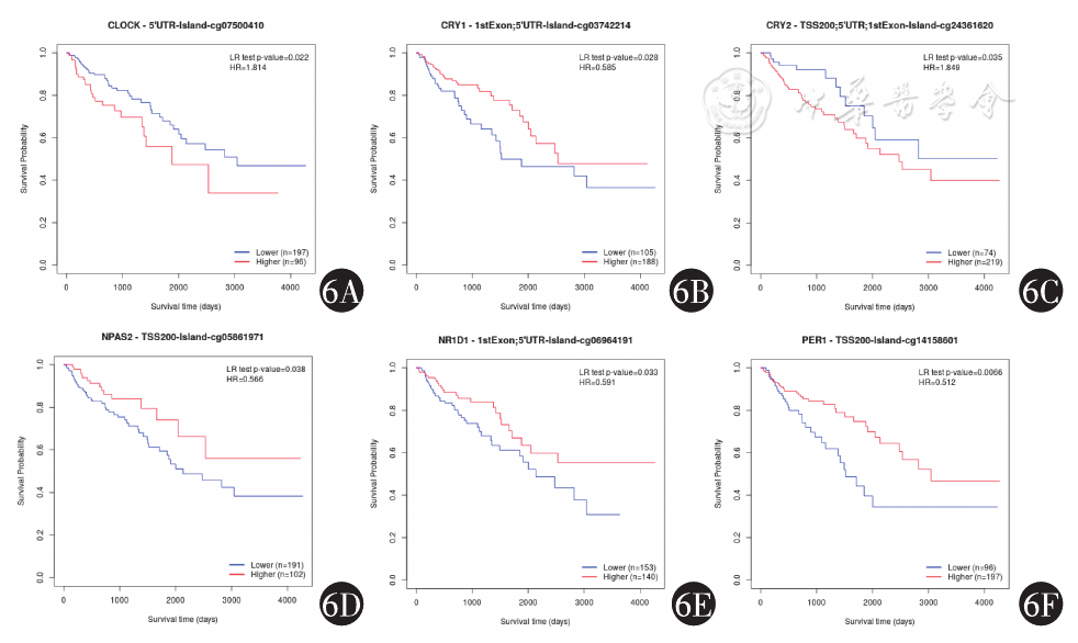
图6 结肠癌中昼夜节律基因突变频率的生存概率分析
表2 昼夜节律基因甲基化位点对结肠癌患者总生存的影响
[1]
Masri S, Sassone-Corsi P. The emerging link between cancer, metabolism, and circadian rhythms[J]. Nat Med, 2018, 24(12): 1795-1803.
[2]
Allada R, Bass J. Circadian Mechanisms in Medicine [J]. N Engl J Med, 2021, 384(6): 550-561.
[3]
Cox KH, Takahashi JS. Circadian clock genes and the transcriptional architecture of the clock mechanism [J]. J Mol Endocrinol, 2019, 63(4): R93-R102.
[4]
王国卿, 童建. 松果体昼夜节律生物钟分子机制的研究进展[J]. 生理科学进展, 2004, 3: 210-214.
[5]
Schrader LA, Ronnekleiv-Kelly SM, Hogenesch JB, et al. Circadian disruption, clock genes, and metabolic health [J]. J Clin Invest, 2024, 134(14): e170998.
[6]
姚鹏程, 李毅刚. 心房颤动与昼夜节律的相关性研究进展[J]. 中华心血管病杂志, 2024, 52(04): 430-434.
[7]
Taleb Z, Karpowicz P. Circadian regulation of digestive and metabolic tissues [J]. Am J Physiol Cell Physiol, 2022, 323(2): C306-C321.
[8]
Straif K, Baan R, Grosse Y, et al. Carcinogenicity of shift-work, painting, and fire-fighting [J]. Lancet Oncol, 2007, 8(12): 1065-1066.
[9]
Hanahan D, Weinberg RA. Hallmarks of cancer: the next generation [J]. Cell, 2011, 144(5): 646-674.
[10]
Li SY, Hammarlund JA, Wu G, et al. Tumor circadian clock strength influences metastatic potential and predicts patient prognosis in luminal A breast cancer [J]. Proc Natl Acad Sci U S A, 2024, 121(7): e2311854121.
[11]
高旗旗, 孙阳. 节律基因家族在上皮性卵巢癌发生发展及治疗中的研究进展[J]. 中华医学杂志, 2019, 99(44): 3517-3520.
[12]
Györffy B, Lanczky A, Eklund AC, et al. An online survival analysis tool to rapidly assess the effect of 22, 277 genes on breast cancer prognosis using microarray data of 1, 809 patients[J]. Breast Cancer Res Treat, 2010, 123(3): 725-731.
[13]
Tang Z, Li C, Kang B, et al. GEPIA: a web server for cancer and normal gene expression profiling and interactive analyses[J]. Nucleic Acids Res, 2017, 45(W1): W98-W102.
[14]
Li T, Fu J, Zeng Z, et al. TIMER2. 0 for analysis of tumor-infiltrating immune cells[J]. Nucleic Acids Res, 2020, 48(W1): W509-W514.
[15]
Tu Z, Ouyang Q, Long X, et al. Protein Disulfide-Isomerase A3 Is a Robust Prognostic Biomarker for Cancers and Predicts the Immunotherapy Response Effectively [J]. Front Immunol, 2022, 13: 837512.
[16]
Cerami E, Gao J, Dogrusoz U, et al. The cBio cancer genomics portal: an open platform for exploring multidimensional cancer genomics data [J]. Cancer Discov, 2012, 2(5): 401-404.
[17]
de Bruijn I, Kundra R, Mastrogiacomo B, et al. Analysis and Visualization of Longitudinal Genomic and Clinical Data from the AACR Project GENIE Biopharma Collaborative in cBioPortal [J]. Cancer Res, 2023, 83(23): 3861-3867.
[18]
Nath P, Alfarsi LH, El-Ansari R, et al. The amino acid transporter SLC7A11 expression in breast cancer [J]. Cancer Biol Ther, 2024, 25(1): 2291855.
[19]
Barber LE, VoPham T, White LF, et al. Circadian Disruption and Colorectal Cancer Incidence in Black Women [J]. Cancer Epidemiol Biomarkers Prev, 2023, 32(7): 927-935.
[20]
Wang X, Ji A, Zhu Y, et al. A meta-analysis including dose-response relationship between night shift work and the risk of colorectal cancer [J]. Oncotarget, 2015, 6(28): 25046-25060.
[21]
Dun A, Zhao X, Jin X, et al. Association Between Night-Shift Work and Cancer Risk: Updated Systematic Review and Meta-Analysis [J]. Front Oncol, 2020, 10: 1006.
[22]
Chun SK, Fortin BM, Fellows RC, et al. Disruption of the circadian clock drives Apc loss of heterozygosity to accelerate colorectal cancer [J]. Sci Adv, 2022, 8(32): eabo2389.
[23]
Anupriya S, Chakraborty A, Patnaik S. Clonal evolution and expansion associated with therapy resistance and relapse of colorectal cancer [J]. Mutat Res Rev Mutat Res, 2022, 790: 108445.
[24]
Bello AT, Sarafian MH, Wimborne EA, et al. Exposing 24-hour cycles in bile acids of male humans [J]. Nat Commun, 2024, 15(1): 10014.
[25]
Degirolamo C, Modica S, Palasciano G, et al. Bile acids and colon cancer: Solving the puzzle with nuclear receptors [J]. Trends Mol Med, 2011, 17(10): 564-572.
[26]
Bishehsari F, Engen PA, Voigt RM, et al. Abnormal Eating Patterns Cause Circadian Disruption and Promote Alcohol-Associated Colon Carcinogenesis [J]. Cell Mol Gastroenterol Hepatol, 2020, 9(2): 219-237.
[1] 徐世伟, 廖杜荣, 张镐, 叶辉, 陈志平, 雒洪志. 基于一种新炎症-营养指标构建结直肠癌术前淋巴结转移预测模型[J/OL]. 中华普通外科学文献(电子版), 2025, 19(06): 383-389.
[2] 李广鑫, 权慧娟, 高志娟, 李良, 王肖君, 曹玉庆. 腹腔镜急诊切除与支架置入限期切除治疗梗阻性结直肠癌的临床效果比较[J/OL]. 中华普外科手术学杂志(电子版), 2026, 20(02): 142-145.
[3] 范现英, 路萌, 刘晓晴, 张希为, 胡延伟, 连彦军. 腹腔镜结直肠癌切除经不同自然腔道标本取出术治疗女性患者的临床比较[J/OL]. 中华普外科手术学杂志(电子版), 2026, 20(02): 146-149.
[4] 高加勒, 张忠涛. 结直肠癌外科领域最新进展与热点[J/OL]. 中华普外科手术学杂志(电子版), 2025, 19(06): 595-599.
[5] 杜晓辉, 谢天宇, 晏阳. 我国腹腔镜结直肠癌外科治疗现状、问题与未来[J/OL]. 中华普外科手术学杂志(电子版), 2025, 19(06): 600-604.
[6] 严征远, 张恒, 曹能琦, 方兴超, 陈大敏. 单孔+1腹腔镜结直肠癌根治切除术的有效性及安全性临床观察[J/OL]. 中华普外科手术学杂志(电子版), 2025, 19(06): 615-618.
[7] 邓吟咏, 钟洁, 蒋理立, 杨婕. 结直肠肿瘤手术后并发症的预测与预防:基于临床研究的最新进展[J/OL]. 中华普外科手术学杂志(电子版), 2025, 19(05): 579-583.
[8] 杨春燕, 周晓苹. 机器人辅助技术在腹腔镜结直肠癌根治术中的研究进展[J/OL]. 中华普外科手术学杂志(电子版), 2025, 19(05): 584-588.
[9] 王珂, 岳育民, 武珍珍, 许泽宇, 惠晓辉, 赵云, 窦维佳, 赵青川. 腹腔镜经自然腔道手术对结直肠癌患者肠道功能及远期效果的影响[J/OL]. 中华普外科手术学杂志(电子版), 2025, 19(04): 413-416.
[10] 唐林娟, 王槿樾, 王欣, 黄娜, 杨凯. 嘌呤生物合成关键酶PAICS在肺腺癌中的表达及功能研究[J/OL]. 中华肺部疾病杂志(电子版), 2025, 18(06): 942-948.
[11] 黄英, 卢蕾, 谭倩, 罗静, 马丹, 杨莉莉, 赵海燕, 何伟. 结直肠癌并发肺部感染的临床特征分析[J/OL]. 中华肺部疾病杂志(电子版), 2025, 18(05): 818-820.
[12] 付梦珺, 杨淳淳, 魏丽敏, 赵雪, 蒋红利, 陈蕾. 成年人昼夜节律综合征与白蛋白尿的关联研究[J/OL]. 中华肾病研究电子杂志, 2025, 14(05): 264-269.
[13] 张梦馨, 王敏, 张嘉倩, 任梅梅, 贾雪燕. 黄芪苡酱汤联合FOLFOX6方案对结直肠癌术后气虚热毒型患者免疫功能及生存质量的影响[J/OL]. 中华消化病与影像杂志(电子版), 2025, 15(05): 426-430.
[14] 童笑笑, 宋美华, 方政, 陈峥世. LncRNA GABPB1-AS1通过靶向hsa-miR-30b-3p促进人结直肠癌细胞增殖侵袭迁移[J/OL]. 中华消化病与影像杂志(电子版), 2025, 15(05): 436-443.
[15] 李真, 王瑞. 老年结直肠癌患者腹腔镜根治后全身麻醉苏醒延迟的风险预测模型的建立与验证[J/OL]. 中华消化病与影像杂志(电子版), 2025, 15(05): 517-523.
阅读次数
全文


摘要


AI


AI小编
你好!我是《中华医学电子期刊资源库》AI小编,有什么可以帮您的吗?